1. introduction and related work
- 많은 추천 알고리즘은 사용자와 아이템의 낮은 차원의 임베딩을 학습 시키는 데 초점을 맞추고 있지만, 아이템간 유사도를 계산하는 것은 그 자체로 끝난다.(???)
- 단어 사이의 semantic한 관계를 알기 위해 낮은 차원의 벡터 공간에 단어와 문단을 매핑한다.
- single item recommendations은 explicit user interest(구체적 item), explicit user가 구매할 의도가 있는지를 통해 맥락을 파악하기 때문에 전통적인 user-to-item recommendations보다 CTR도 더 높고 판매와 수익에 기여한다.
- 이 논문에서는 item-based CF에 word2vec으로 잘 알려진 SGNS을 적용해 아이템 사이의 관계를 찾아내고자 한다.(item2vec)
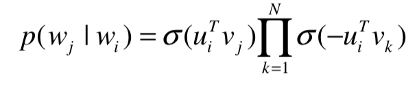
2. Skip-Gram with Negative Sampling (SGNS)
SGNS는 neural word embedding 방법
- 문장 내 단어 사이에서 관계를 찾아내 단어 표현을 찾아냄
- 그냥 word2vec 중 skip-gram에 softmax 함수를 아래 수식으로 대체해서 negative sampling을 추가시킨 것
- 아래 수식의 N은 negative examples 수

3. ITEM2VEC - SGNS for item similarity
item-based CF에 SGNS를 적용하기 위해 words의 a sequence를 items의 a set or basket과 동등하게 봄.
sequences를 sets로 바꾸어 표현하면서 spatial/time에 대한 정보를 무시하는 방향으로.
같은 set을 공유하는 items은 시간에 관계 없이 유사하다고 간주된다.
같은 set 안에 있는 item 쌍들은 positive example.
일반 skip-gram과 다른 점

기존엔 윈도우 사이즈(c)만큼만 탐색했지만,

item2vec skip-gram에서는 한 시퀀스에 있는 모든 아이템 탐색
쉽게 말하면,
이 논문에서는 모델로 word2vec중 skip gram을 사용했고, item2vec에서 조금 바뀐 점은
1. a sentence(w2v) -> 한 유저가 클릭/좋아요를 한 item set
2. a word -> item set 중 item 하나
3. window size는 item set 크기만큼(target만 빼고 전부 보기!)
끝!
댓글