본문 바로가기
AI/공부

[인과관계 추론] 9.Instrumental Variables

by 지수코딩 2021. 8. 6.

전체 컨셉

How can we identify causal effects when we are in the presence of unobserved confounding?

-> One popular way is to find and use "Instrumental variables".

 

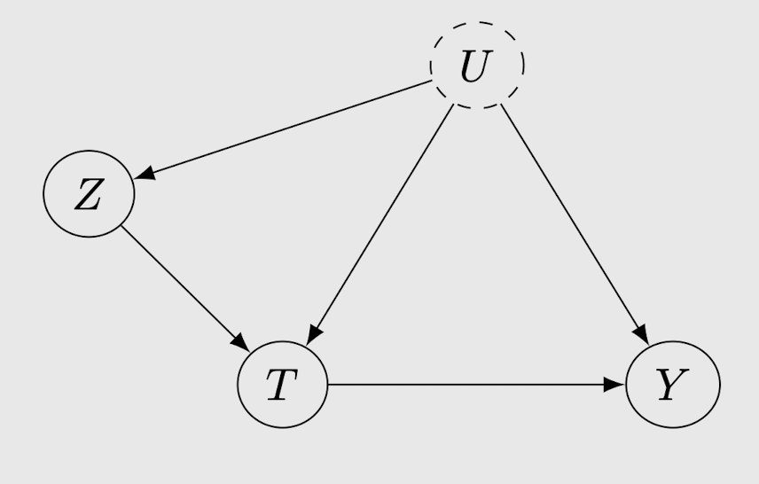
1. What is an Instrument?

변수 Z가 instrument로 간주되기 위해서는 세 개의 Assumption을 만족해야 한다.

 

Assumption 1. (Relevance) Z has a causal effect on T

Assumption 1. Relevance

 

Assumption 2. (Exclusion Restriction) Z causal effect on Y is fully mediated by T

Assumption 2. Exclusion Restriction

1. Y를 나타내는 구조 방정식 상에서 Z를 배제

2. T를 거치지 않고 Z와 Y 간의 causal association을 만드는 모든 구조 방정식을 배제
=> causal graph 상에서 변수 간의 edges 배제했기 때문에, Z에서 Y로 가는 모든 causal paths는 T를 지난다.
We assume that the causal effect of Z on Y is unconfounded

 

Assumption 3. (Instrumental Unconfoundedness) There are no backdoor paths from Z to Y

Assumption 3. Instrumental Unconfoundedness

backdoor path가 있다면 제거
=> Z는 이제 완전히 Unconfounded!

 

Conditional Instruments

observed variable(W)에 대해서 조건부 unconfoundedness가 있더라도 intrumental variables는 여전히 잘 동작

 

 

 

2. No Nonparametric Identification of the ATE

2.1. Q&A

Question?

Answer?

- Assumption을 만들 필요가 없을 때 Nonparametric Identification을 가질 수 있음

- 하지만, Instrumental Variables는 위와 같은 3가지 Assumption이 존재하기 때문에 causal effect를 nonparametrically 식별할 수 없음

 

또한,

Nonparametric Identification을 만족하는 조건은 아래와 같음

1. Y는 자기 자신의 ancestor

2. Y는 T의 child

3. U는 unobserved confounder이기 때문에 backdoor path를 block 불가능(ch6 backdoor path block 조건 찾아보기!)

=> T에서 Y로 가는 backdoor path인 U를 block할 수 없기 때문에 Nonparametric Identification 조건을 만족하지 않음

 


3. Warm-Up: Binary Linear Setting

Assumption 4. (Linear Outcome)

 

Setting.

- T and Z are binary

 

Z가 방정식에 표현되지 않은 이유는 'Assumption 2' 때문

Assumption 2. (Exclusion Restriction) Z causal effect on Y is fully mediated by T
-> T를 거치지 않고 Z와 Y 간의 causal association을 만드는 모든 구조 방정식을 배제

 

 

 

Z-Y 관계에 대한 associational difference는 아래 식으로 나타낼 수 있음

 

Wald Estimand

 

아래 식에서 분모는 relevance assumption 때문에 0이 아님 -> 우항이 undefined 될 일 없음

Proposition 1

instrument Z -> Y로 가는 backdoor path가 없기 때문에,

Z -> Y path의 effect를 하나씩 살펴볼 수 있음

 

또한,

Z -> T / T -> Y 와 같이 causal effect가 있는 directed path를 각 coefficient의 곱으로 생각해볼 수 있음

 

Preposition 9.1 식에 대입해보면 아래와 같은 식으로 변경할 수 있음

 

 

 

 

4. Continuous Linear Setting

 

Setting.

- T and Z are continuous 

- Assumption 4

 

 

 

아래 식에서 분모는 relevance assumption 때문에 0이 아님 -> 우항이 undefined 될 일 없음

 

 

Two-stage least squares estimator

Wald Estimator와 유사한 natural estimator

- T^는 U의 함수가 아니므로, 해당 edge 제거

- T^에서 Y로 가는 backdoor path 없음

- 현재의 association이 causation

+ binary setting에서도 적용 가능

 

 

 

5. Nonparametric Identification of Local ATE

Assumption 만들지 않고도 indentification을 위한 instrumental variables를 만들 수 있음

1.  settle for a more specific causal estimand than the ATE

2. swap the linearity assumption out for a new assumption

 

Potential Outcomes Notation with Instruments

 

Principal Strata

- Always/Never-takers: Y에 대한 Z의 causal effect는 0

 

 

Monotonicity Assumption

: LATE(Local ATE) Identification에 필요

- instrument value가 1인 treatment의 값이 크거나 같아야함

 

 

Deriving Local ATE Identification

- Monotonicity Assumption을 하기 때문에 Defiers 제거

- Always/Never-takers: Y에 대한 Z의 causal effect는 0

 

- LATE는 subpopulation, ATE는 whole population (그래서 아래와 같은 문제 생김)

 

 

6. More General Settings for ATE Identification

- 딥 러닝으로 f를 모델링

 

- point보다는 set을 identification하는 것이 부가적인 노이즈 assumption을 완화시킴

- 그래서, U를 방정식에서 제거

반응형

'AI > 공부' 카테고리의 다른 글

[Book] 한국어 임베딩  (0) 2019.11.09
CNN  (0) 2019.09.30
RNN & Automata (오토마타)  (0) 2019.09.24

댓글